Changelog

The benchmark is currently evaluated on the v2 version of the dataset.


October 30, 2025

October 13, 2025

  • Added the iPhone NVS Benchmark: train on commodity-level captures and test against high-quality DSLR images. Please update your download script to download the new scenes for this benchmark.

April 30, 2025

  • Include undistorted DSLR images in the download. Users now don't have to run the fisheye undistortion script by default. Please update the download script to get the undistorted DSLR images.
  • A 3DGS example and simple viewer on ScanNet++ are provided 3DGS demo.

v2 (December 20, 2024)

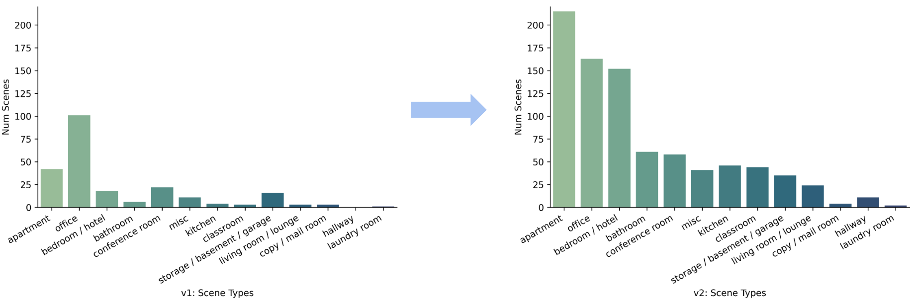
Dataset: 1000+ scenes released with 600+ new scenes.

Please re-download and replace the old version of the dataset using the updated download script, since v2 includes notable improvements to v1 scene data.

    v1_v2

  • Longer-tail semantics with more unique objects annotated
  • v1_v2

  • Balanced diversity of scene types: more apartments, workshops, recreational areas, and many new types. Scene type metadata is released (scene_types.json).
  • Statistic v1 v2
    Scenes 380 1006
    DSLR frames 228K 1.1M
    iPhone Frames 3.27M 10M
    iPhone Duration 15 hours 46 hours
    Unique Annotated Labels 1.7k 3.4k
    Annotated Instances 30k 111k
    Download size 400 GB 1.5TB
  • Higher DSLR and iPhone coverage with lesser motion blur in new scenes
  • Improved DSLR and iPhone poses and anonymization for all scenes (including updates to v1 scenes)
  • iPhone video changed to mkv format for more accurate anonymization

Benchmarks:

  • New scenes are added to the train set. The other splits remain the same, while annotations/poses are improved across all splits.
  • New NVS-small benchmark on a subset of 12 scenes for faster evaluation. See details under documentation. The NVS-full benchmark is unchanged
  • Please re-download and replace the old version of the dataset using the updated download script, since v2 includes notable improvements to v1 scene data.

v1 (November 23, 2023)

380 scenes released along with NVS and Semantic benchmarks, several improvements to the dataset

  • Added nvs_test and sem_test scenes, benchmark details
  • Improved DSLR metadata (nerfstudio/transforms.json) listing the clean and blurry images, additional DSLR images in some scenes
  • Semantic annotation on segments (segments.json, segments_anno.json) changed
  • Filtering of images in iphone/colmap improved
  • Several assets zipped for faster downloads